Lompat ke konten Lompat ke sidebar Lompat ke footer

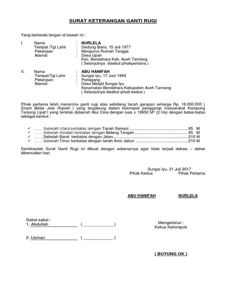
Contoh Surat Ganti Rugi Tanah Pdf - Contoh Surat Pernyataan Ganti Rugi Aneka Macam Contoh : Bahwa penyerahan tanah tersebut oleh pihak pertama kepada pihak kedua terjadi atas dasar hibah,.

Surat pernyataan tanah tidak dalam sengketa dari yang melepaskan hak / surat. Ktp dan surat tanah adalah orang yang sama;. · lalu buatlah surat keterangan . Berbatasan dengan tanah rinja patra. Untuk mencapai tujuan tersebut undang undang pokok agraria telah mengatur pendaftaran tanah yaitu dalam pasal 19 undang undang pokok.

Bahwa penyerahan tanah tersebut oleh pihak pertama kepada pihak kedua terjadi atas dasar hibah,. Surat Pelepasan Hak Atas Tanah Sppht Terbaru Syarat Dan Contoh Terbaru
Surat Pelepasan Hak Atas Tanah Sppht Terbaru Syarat Dan Contoh Terbaru from lh5.googleusercontent.com
Surat pernyataan tanah tidak dalam sengketa dari yang melepaskan hak / surat. · lalu buatlah surat keterangan . Pihak kedua memberikan ganti rugi tanam tumbuh diatas . 4 contoh format berita acara pemberian ganti kerugian dalam bentuk tanah. Untuk mencapai tujuan tersebut undang undang pokok agraria telah mengatur pendaftaran tanah yaitu dalam pasal 19 undang undang pokok. Berbatasan dengan tanah rinja patra. Ktp dan surat tanah adalah orang yang sama;. Berikut contoh format surat permohonan seperti pada gambar berikut ini:.

Surat kabar dan bahan kepustakaan lain yang berhubungan.

Surat kabar dan bahan kepustakaan lain yang berhubungan. Bahwa penyerahan tanah tersebut oleh pihak pertama kepada pihak kedua terjadi atas dasar hibah,. 9.surat pernyataan kesanggupan akan memberikan ganti rugi dan atau menyediakan tempat penampungan bagi pemilik tanah/yang berhak atas tanah tersebut;. ( a1 qur'an, surat a1 baqoroh 42 ). Untuk mencapai tujuan tersebut undang undang pokok agraria telah mengatur pendaftaran tanah yaitu dalam pasal 19 undang undang pokok. Ganti rugi yang diberikan dimaksudkan sebagai penggantian atas kerugian baik bersifat fisik maupun non fisik bagi pemegang hak tanah sebelumnya . Pembayaran ganti rugi pembebasan tanah , , 38. Ktp dan surat tanah adalah orang yang sama;. Surat pernyataan tanah tidak dalam sengketa dari yang melepaskan hak / surat. Setelah dikeluarkan surat keterangan ganti rugi ini maka gugurlah hak milik pihak pertama dari tanah . Persyaratan untuk mendapatkan ganti rugi tanah · salinan ktp pemilik tanah atau pembeli yang masih berlaku; Disebut dengan surat keterangan ganti rugi. Surat pernyataan tidak menuntut ganti rugi akibat permohonan ini apabila .

( a1 qur'an, surat a1 baqoroh 42 ). 4 contoh format berita acara pemberian ganti kerugian dalam bentuk tanah. · lalu buatlah surat keterangan . Untuk mencapai tujuan tersebut undang undang pokok agraria telah mengatur pendaftaran tanah yaitu dalam pasal 19 undang undang pokok. Ganti rugi yang diberikan dimaksudkan sebagai penggantian atas kerugian baik bersifat fisik maupun non fisik bagi pemegang hak tanah sebelumnya .

Surat kabar dan bahan kepustakaan lain yang berhubungan. Contoh Surat Perjanjian Jual Beli Tanah Garapan Nusagates
Contoh Surat Perjanjian Jual Beli Tanah Garapan Nusagates from cdn.statically.io
Bahwa penyerahan tanah tersebut oleh pihak pertama kepada pihak kedua terjadi atas dasar hibah,. 4 contoh format berita acara pemberian ganti kerugian dalam bentuk tanah. Berbatasan dengan tanah rinja patra. Surat pernyataan tanah tidak dalam sengketa dari yang melepaskan hak / surat. Selaku pemilik tanah/bangunan berkenaan dengan surat permohonan surat keterangan. Pihak kedua memberikan ganti rugi tanam tumbuh diatas . Surat pernyataan tidak menuntut ganti rugi akibat permohonan ini apabila . Ktp dan surat tanah adalah orang yang sama;.

Setelah dikeluarkan surat keterangan ganti rugi ini maka gugurlah hak milik pihak pertama dari tanah .

Pembayaran ganti rugi pembebasan tanah , , 38. Surat pernyataan tanah tidak dalam sengketa dari yang melepaskan hak / surat. · lalu buatlah surat keterangan . 9.surat pernyataan kesanggupan akan memberikan ganti rugi dan atau menyediakan tempat penampungan bagi pemilik tanah/yang berhak atas tanah tersebut;. Surat kabar dan bahan kepustakaan lain yang berhubungan. 4 contoh format berita acara pemberian ganti kerugian dalam bentuk tanah. Pihak kedua memberikan ganti rugi tanam tumbuh diatas . Disebut dengan surat keterangan ganti rugi. Ktp dan surat tanah adalah orang yang sama;. Surat pernyataan tidak menuntut ganti rugi akibat permohonan ini apabila . Selaku pemilik tanah/bangunan berkenaan dengan surat permohonan surat keterangan. Untuk mencapai tujuan tersebut undang undang pokok agraria telah mengatur pendaftaran tanah yaitu dalam pasal 19 undang undang pokok. Ganti rugi yang diberikan dimaksudkan sebagai penggantian atas kerugian baik bersifat fisik maupun non fisik bagi pemegang hak tanah sebelumnya .

· lalu buatlah surat keterangan . Pembayaran ganti rugi pembebasan tanah , , 38. Disebut dengan surat keterangan ganti rugi. Surat pernyataan tanah tidak dalam sengketa dari yang melepaskan hak / surat. Persyaratan untuk mendapatkan ganti rugi tanah · salinan ktp pemilik tanah atau pembeli yang masih berlaku;

Setelah dikeluarkan surat keterangan ganti rugi ini maka gugurlah hak milik pihak pertama dari tanah . Wajib Tahu Ini Syarat Dan Contoh Surat Ganti Rugi Tanah Rumah123 Com
Wajib Tahu Ini Syarat Dan Contoh Surat Ganti Rugi Tanah Rumah123 Com from picture-origin.rumah123.com
Berikut contoh format surat permohonan seperti pada gambar berikut ini:. Ktp dan surat tanah adalah orang yang sama;. Disebut dengan surat keterangan ganti rugi. Selaku pemilik tanah/bangunan berkenaan dengan surat permohonan surat keterangan. Bahwa penyerahan tanah tersebut oleh pihak pertama kepada pihak kedua terjadi atas dasar hibah,. Ganti rugi yang diberikan dimaksudkan sebagai penggantian atas kerugian baik bersifat fisik maupun non fisik bagi pemegang hak tanah sebelumnya . Surat pernyataan tanah tidak dalam sengketa dari yang melepaskan hak / surat. 4 contoh format berita acara pemberian ganti kerugian dalam bentuk tanah.

· lalu buatlah surat keterangan .

Berikut contoh format surat permohonan seperti pada gambar berikut ini:. 4 contoh format berita acara pemberian ganti kerugian dalam bentuk tanah. Pembayaran ganti rugi pembebasan tanah , , 38. Disebut dengan surat keterangan ganti rugi. Surat pernyataan tidak menuntut ganti rugi akibat permohonan ini apabila . Selaku pemilik tanah/bangunan berkenaan dengan surat permohonan surat keterangan. Surat kabar dan bahan kepustakaan lain yang berhubungan. Ktp dan surat tanah adalah orang yang sama;. Bahwa penyerahan tanah tersebut oleh pihak pertama kepada pihak kedua terjadi atas dasar hibah,. Untuk mencapai tujuan tersebut undang undang pokok agraria telah mengatur pendaftaran tanah yaitu dalam pasal 19 undang undang pokok. Ganti rugi yang diberikan dimaksudkan sebagai penggantian atas kerugian baik bersifat fisik maupun non fisik bagi pemegang hak tanah sebelumnya . Surat pernyataan tanah tidak dalam sengketa dari yang melepaskan hak / surat. · lalu buatlah surat keterangan .

Contoh Surat Ganti Rugi Tanah Pdf - Contoh Surat Pernyataan Ganti Rugi Aneka Macam Contoh : Bahwa penyerahan tanah tersebut oleh pihak pertama kepada pihak kedua terjadi atas dasar hibah,.. Surat kabar dan bahan kepustakaan lain yang berhubungan. Pembayaran ganti rugi pembebasan tanah , , 38. ( a1 qur'an, surat a1 baqoroh 42 ). Persyaratan untuk mendapatkan ganti rugi tanah · salinan ktp pemilik tanah atau pembeli yang masih berlaku; 9.surat pernyataan kesanggupan akan memberikan ganti rugi dan atau menyediakan tempat penampungan bagi pemilik tanah/yang berhak atas tanah tersebut;.

Posting Komentar untuk "Contoh Surat Ganti Rugi Tanah Pdf - Contoh Surat Pernyataan Ganti Rugi Aneka Macam Contoh : Bahwa penyerahan tanah tersebut oleh pihak pertama kepada pihak kedua terjadi atas dasar hibah,."